近日,清华大学能源与动力工程系和燃烧能源中心刘有晟课题组孙宇航等人在2025年中国工程热物理学会学术年会上口头报告了《开源多组分液滴燃烧仿真工具开发及混合物组分分布对液滴燃烧特性的影响研究》,并获得大会“优秀论文奖”。
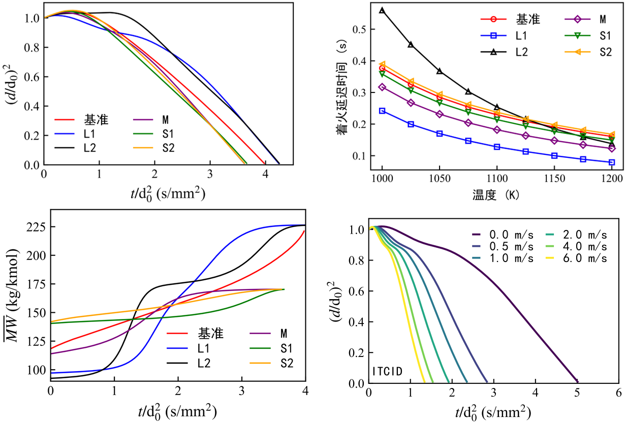
石油基燃料组分复杂,其在喷雾燃烧中普遍存在优先性蒸发现象,导致燃料组分在燃烧室内时空分布不均匀,对宏观燃烧性能产生重要影响。然而,领域内对于混合物组分分布如何影响液滴燃烧特性的研究不足,且缺乏便捷、高效的液滴燃烧开源仿真工具。本工作开发并开源了多组分液滴燃烧仿真工具DropletPalette,选取了平均分子量接近但组分分布差异显著的航空煤油RP-3替代燃料模型,系统研究了组分分布对液滴蒸发特性和自着火特性的影响规律,并提出了新的燃料模型评估工具,组分蒸发强度图。
通过数值仿真,本工作揭示了少组分燃料模型(3-5组分)的局限性:即使在宏观平均性质上与真实燃料匹配,其简化的组分分布仍无法准确复现复杂的优先性蒸发过程。组分挥发性差异过大会导致“液滴蒸发接力中断”,使液滴蒸发特性严重偏离经典的d⟡律,进而影响液滴自着火预测;将这些少组分燃料模型应用于喷雾燃烧仿真中,将造成气相瞬态燃烧性质的失真。

图1 少组分燃料模型复现复杂燃料优先性蒸发过程的局限性
鉴于少组分燃料模型可能出现的“液滴蒸发接力中断”现象,本工作创新性提出了“组分蒸发强度图”燃料模型评估工具:从物理机制出发,通过量化轻重组分蒸发强度的衔接关系,先验地、快速地判断“液滴蒸发接力中断”是否发生,为燃料模型的开发筛选提供了直观依据。

图2 组分蒸发强度图:通过量化轻重组分蒸发强度的衔接关系评估燃料模型是否会出现“液滴蒸发接力中断”现象
燃烧能源中心博士生孙宇航为该论文的第一作者,刘有晟老师为通讯作者。其他作者包括刘有晟课题组博士毕业生陈舒晴。本研究得到了国家重点研发计划(2021YFA0716201)和国家自然科学基金(52076117)的支持。

图3 孙宇航博士生参加会议优秀论文奖颁奖典礼